第三届生态毒理学学术研讨会会议通知(第二轮)
2016/4/27~30,江苏省无锡市
南京大学与中国科学院生态环境研究中心《生态毒理学报》编辑部联合举办的“第三届生态毒理学学术研讨会”,将于2016年4月27日至30日在江苏省无锡市举行。本届会议主题是“从分子毒理到生态和健康影响”,将根据本领域的最新进展设置多个议题展开讨论。如同上届会议,交流形式亦包括大会报告、分会主旨报告、口头报告和展板报告。会议计划依然由英国皇家化学会设立优秀口头报告奖和优秀墙报奖,并颁发获奖证书。
本次研讨会将编辑制作电子版会议论文摘要集作为会议交流资料(非正式出版物)。同时,将遴选部分论文在《生态毒理学报》正刊上优先发表。
一、会议组织
1、学术委员会
刁晓平,于红霞,于云江,王子健*,王文雄,王春霞,王晓蓉,马梅,马奇英,马义兵,尹大强,冯新斌,石利利,朱永官*,朱鲁生,朱琳,刘维屏,刘树深,孙成,毕军,任洪强,汝少国,许宜平,陈吕军*,陈景文,陈春英,陈红,陈会明,张效伟*,张勇,张玉生,张徐祥,李爱民*,李建中,麦碧娴,吴丰昌,周启星,周东美,杨旭,杨柳燕,金洪钧,罗义,单正军,季荣,胡建英,骆永明,查金苗,秦占芬,聂湘平,高愈希,高士祥,高志贤,郭红岩,袭著革,韩博平,彭双清,董四君,蔡磊明,鲜啟鸣,缪爱军,戴家银(*为责任发起人)
2、主办单位
南京大学环境学院
污染控制与资源化研究国家重点实验室
国家有机毒物污染控制与资源化工程技术研究中心
中国科学院生态环境研究中心《生态毒理学报》
3、分会主题(2016年4月28-29日下午)
主题1: 化学污染物的环境暴露和生物体过程
主题2: 化学物质毒性测试新技术和新方法
主题3: 化学物质的生态毒性和毒理
主题4: 化学物质分子毒理和健康效应
专题学术讨论会(2016年4月28-29日下午)
专题学术讨论会与第三届生态毒理学学术研讨会的分会同步举行,代表可选择性参加,无需缴纳额外的注册费,各个专题学术讨论会的会议通知详见附件。
1.“纳米材料的环境、生物行为及效应”专题学术讨论会
主办单位:国家纳米科学中心(召集人:陈春英 研究员)
中国科学院高能物理研究所(召集人:高愈希 研究员)
2.“农用化学品生态毒理学与风险评估技术”专题学术讨论会
主办单位:环境保护部南京环境科学研究所(召集人:石利利 研究员)
浙江省农业科学院农产品质量标准研究所(召集人:蔡磊明 研究员)
3.“环境中抗生素和耐药基因”专题学术讨论会
主办单位:南开大学(召集人:罗 义 教授)
浙江大学(召集人:陈 红 教授)
4.“环境基准与标准”专题学术讨论会
主办单位:中国环境科学研究院 环境基准与风险评估国家重点实验室(召集人:吴丰昌 主任)
5.“饮用水质复合污染过程与调控原理”专题学术讨论会
主办单位:中国科学院饮用水科学与技术重点实验室(召集人:刘会娟 研究员)
中国科学院饮用水科学与技术重点实验室(召集人:马 梅 研究员)
6.“环境中有毒污染物的健康风险评价”专题学术讨论会
主办单位:环境保护部华南环境科学研究所(召集人:于云江 研究员)
7. “有害结局路径与预测毒理学”专题学术研讨会
主办单位:南京大学(召集人:张效伟 教授)
二、会议活动
参会申请:2016年1月15日~2016年4月27日
会议报到:2016年4月27日
会议交流:2016年4月28日至29日
生态考察(计划)
:2016年4月30日(参观无锡市贡湖湾湿地公园)
三、重要时间节点
1.
预注册:预注册代表通过银行转账的形式交注册费,注册费为1000元/人,在读研究生注册费为900元/人,预注册交费的截止日期为
2016年3月31日。
2.
常规注册:常规注册代表通过银行转账的形式交注册费,注册费为1200元/人,在读研究生注册费为1100元/人,常规注册时间为2016年4月1日至2016年4月26日。
根据上届会议的经验,本届会议将不再退回注册费,预注册代表如果因特殊原因届时不能参加会议,可以请其他专家代为参加。
3.
现场注册:现场注册代表可通过现金或刷公务卡的方式交注册费,注册费为1500元/人,在读研究生注册费为1400元/人。
4. 参会代表提交论文摘要,组委会将制作成电子版(PDF格式)的会议论文集,作为会议交流资料。论文摘要模板请见附件(请严格按照模板格式提交,以保证会议论文集的规范),投稿截止日期为
2016年3月25日。
5. 会议正式报到时间:
2016年4月27日至28日(8:00-23:00)。
6. 纳米专题讨论会的全文投稿将在“纳米材料的环境、生物行为及效应”专辑(正刊)上发表,投稿截止日期为
2016年6月30日。专辑的征稿邀请请见附件。
7. 一般会议论文全文投稿将在《生态毒理学报》的正刊上发表,投稿截止日期为
2016年9月30日。
四、会议注册和交费方式
通过南京大学在线支付平台
http://pay.nju.edu.cn/一次性完成会议报名和注册费支付。
报名操作程序为:登录网站→点击“注册报名”,进入南京大学通用注册支付平台→点击网页右上角的“注册”橘色按钮→输入基本信息,完成账户注册→点击网页右上角的“用户登录”橘色按钮,进入南京大学统一身份认证平台→输入用户名、密码和验证码,点击“登录”,以登录身份进入南京大学通用注册支付平台(此时网页右上角显示您的用户名)→在报名项目栏选择“第三届生态毒理学学术研讨会”,点击“详情”→在会议详情介绍的结尾处,点击“我要报名”→填写报名详情,点击“保存”→核实报名详情,点击提交申请(会务组在当天或次日即可完成审核)。
缴费操作程序为:以登录身份进入南京大学通用注册支付平台(此时网页右上角显示您的用户名)→在报名项目栏选择“第三届生态毒理学学术研讨会”,点击“详情”→在会议详情介绍的结尾处,点击“我要付款”→进入“报名详情”页,点击“付款”按钮→按照提示完成付款(可以通过银行转账,也可通过支付宝转账)。
中国科学院生态环境研究中心的参会代表,请在南京大学在线支付平台
http://pay.nju.edu.cn/上完成报名程序后,通过内部转账方式缴纳注册费。
提示:1)如果是团队参会,可只注册一个用户,但团队成员的报名详情填写和注册费付款需要逐一完成。
2)在“第三届生态毒理学学术研讨会”召开的同时,我们还组织了“化学品风险预测与管理技术国际研讨会(ISCRPM-2016)”,两会均在无锡君来世尊酒店举行,ISCRPM-2016报告时间安排在4月27日,具体会议通知请见附件。
代表可单独注册参加第三届生态毒理学学术研讨会,也可同时注册参加ISCRPM-2016和第三届生态毒理学学术研讨会。
两会同时参加的代表需分别完成报名详情填写和注册费付款。
会议报名和注册费支付遇到问题,或注册费缴纳只能通过公对公账户汇款的参会代表,请联系:南京市栖霞区仙林大道163号南京大学 环境学院 丁玮 老师
电话:13852290877 E-mail:dingneey@qq.com
五、酒店预订
本次会议举办地点为无锡君来世尊酒店,会务组已与酒店达成协议,大床房380元/间夜,双床房470元/间夜,参会代表可自行预订酒店房间,预订方式有三种:
1. 电话预订:
总机电话:0510-85285888
预订部电话:0510-85285876;0510-85285877(8:30~17:00)
2. E-mail预订:
Email:
reservation.wuxi@worldhotelgrandjuna.com
3. 传真预订:
传真: 0510-85285878
每种预订方式均需提供以下信息:
姓名,联系方式,入住日期,离店日期,房型,说明活动项目为“第三届生态毒理学学术研讨会”。
六、联系方式
1. 通讯地址(
会议报名缴费)南京市栖霞区仙林大道163号南京大学 环境学院 邮编:210000
联系人:丁玮
电话:13852290877 E-mail:dingneey@qq.com
2. 通讯地址(
会议投稿,酒店预订):北京市海淀区双清路18号中国科学院生态环境研究中心《生态毒理学报》编辑部 邮编:100085
联系人:侯一宁、张慧
电话/传真:010-62941072 E-mail:
stdlxb@rcees.ac.cn 网站:
http://www.stdlxb.cn
附件:
一、第三届生态毒理学学术研讨会会议论文摘要模板
阿昔洛韦和喷昔洛韦的间接光化学降解机理及产物毒性风险研究(文章标题格式:三号宋体加粗、单倍行距、左对齐)
(除文章标题外,其他部分全部为五号宋体、单倍行距,一些细节之处见文中标注)
安继斌
1,3,李桂英
1,安太成
1,*,聂湘平
2(作者姓名和单位,均为左对齐;通讯作者用*号标注,共同通讯作者用#号标注,作者姓名用中文逗号相隔)
1. 中国科学院广州地球化学研究所有机地球化学国家重点实验室,广州 510640
2. 暨南大学水生生物研究所,广州 510632
3. 中国科学院大学,北京 100049
关键词(加粗)
:阿昔洛韦;喷昔洛韦;光化学;活性氧物种;毒性评价(关键词左对齐;3-5个关键词,以中文分号相隔)
(与正文间空一行)(正文为两端对齐)
阿昔洛韦和喷昔洛韦是治疗疱疹病毒的一类药物,在污水处理厂中检测到的浓度一般在ng·L
-1的数量级
[1]。然而关于这两种抗病毒药物在环境水体中的迁移转化和归趋方面的研究目前还比较少见
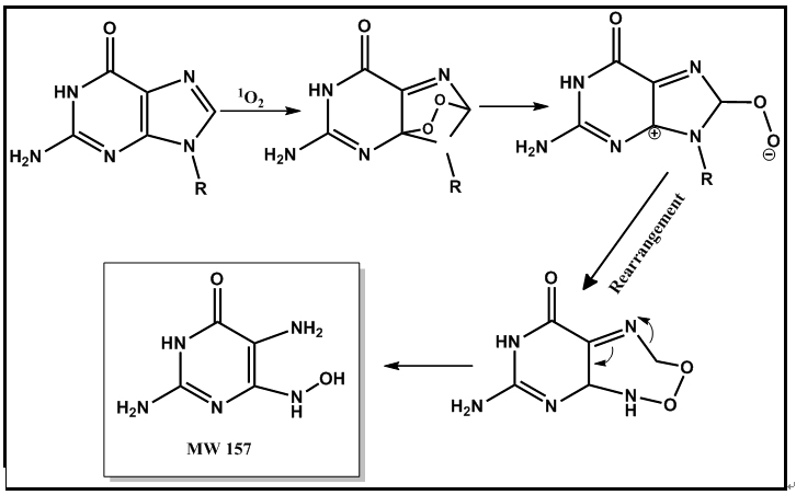
[2]。因此,正确了解这类抗病毒药物在水环境中光化学转化机制与归趋及其生态毒性效应非常重要。本研究以富里酸为溶解有机质代表,选择这两种抗病毒药物及其三种分子子结构化合物,研究了其间接光化学转化动力学,然后采用同位素溶剂实验和活性物种淬灭实验详细研究了其间接光化学转化机理,并结合现代分析测试手段对其降解产物进行了鉴定。最后,对其降解过程的急性毒性变化特征进行了研究。
阿昔洛韦和喷昔洛韦在模拟太阳光下的不能发生直接光化学降解,而随反应体系中富里酸的浓度从10增加到40 mg·L
-1时,它们的降解速率逐渐在增加,这可能是因为随体系中溶解有机质浓度的增加,产生了更多的活性氧物种参与反应。在富里酸存在下,
1O
2、•OH、O
2-•和激发态富里酸均可能是它们间接光化学降解过程中的活性物种。因此,通过一系列活性物种淬灭实验来研究了阿昔洛韦和喷昔洛韦间接光化学降解的主要途径。首先人为添加O
2-•和H
2O
2到阿昔洛韦和喷昔洛韦间接光化学降解体系中,结果发现:这两个活性物种与阿昔洛韦和喷昔洛韦之间没有反应。此外,采用向反应体系中加入异丙醇来淬灭•OH,加入叠氮化钠来淬灭
1O
2,而同时加入异丙醇和叠氮化钠来淬灭体系中•OH和
1O
2。发现当加入叠氮化钠来淬灭
1O
2,阿昔洛韦和喷昔洛韦间接光化学降解速率有很大变化,表明
1O
2在它们间接光化学降解过程中起着主要作用。而加入异丙醇来淬灭•OH时,阿昔洛韦和喷昔洛韦间接光化学降解速率变化很小,说明•OH对它们的光化学降解贡献很小。而当反应体系中同时加入异丙醇和叠氮化钠时,反应速率进一步降低,但此时阿昔洛韦还有一定的降解,这表明激发态的富里酸可能对阿昔洛韦的降解也有一定的作用。同时通过测定阿昔洛韦和喷昔洛韦降解体系中的活性物种浓度及目标污染物与活性物种的双分子反应速率常数,对淬灭实验所得到的活性物种贡献研究的结果有了交互的应证(活性物种贡献由式(1)(2)(3)来计算)。由这些双分子反应速率常数乘以所测定的反应体系中的活性物种浓度可以得到预测活性物种的贡献值。预测结果如表1所示,计算得到的阿昔洛韦的
1O
2和•OH的氧化降解速率常数分别为9.4×10
-6和8.3×10
-7 s
-1,喷昔洛韦的
1O
2和•OH的氧化降解速率常数为3.5×10
-5和8.3×10
-7 s
-1,而预测得到了阿昔洛韦的
1O
2和•OH的氧化降解速率常数为8.7×10
-6和9.1×10
-7 s
-1,喷昔洛韦的
1O
2和•OH的氧化降解速率常数为1.7×10
-6和6.9×10
-6 s
-1,由此对比计算和预测得到的活性物种贡献结果可知,两种方法的偏差在10%以内,因此可以表明活性氧物种淬灭实验可以很好地用来研究活性物种的贡献。

(1)

(2)

(3)
表1 阿昔洛韦和喷昔洛韦间接光化学降解过程中活性物种的贡献(表题为居中对齐)
|
化合物 |
kcalc,1O2 (s-1)a |
kcalc,•OH(s-1) b |
kcalc,FA* (s-1)c |
kpred,1O2(s-1) |
kpred, •OH (s-1) |
|
阿昔洛韦 |
9.4×10-6 |
8.3×10-7 |
5.7×10-8 |
8.7×10-6 |
9.1×10-7 |
|
喷昔洛韦 |
3.5×10-5 |
7.7×10-6 |
9.8×10-7 |
1.7×10-6 |
6.9×10-6 |
注:FA*表示激发态富里酸,
a 结果由(1)式计算,
b 结果由(2)式计算,
c 结果由(3)式计算。
为了确定阿昔洛韦和喷昔洛韦与
1O
2反应的活性部位,我们选择了这两种药物分子中不同官能团子结构的化合物作为研究对象,如鸟嘌呤、异胞嘧啶和咪唑分子,利用钼酸根-双氧水体系测定了其与
1O
2的反应速率常数。实验结果表明鸟嘌呤结构式中咪唑表现出来与阿昔洛韦和喷昔洛韦有十分接近的反应速率常数,明确表现其为阿昔洛韦和喷昔洛韦分子中与
1O
2反应的活性部位。此外,我们通过LC/MS/MS鉴定了阿昔洛韦和喷昔洛韦与
1O
2反应的中间产物。并由此提出了阿昔洛韦和喷昔洛韦与
1O
2反应的途径,
1O
2与它们的反应类似于在咪唑部分发生的Diels-Alder反应,首先在咪唑环生成了一种内过氧化合物,其次,电子重组生成了两性离子的过渡态,接而分子中的醚类和醇类结构发生迁移,并伴随着咪唑结构的重组,随着键的断裂生成了一定的中间产物。最后,选用了三种不同营养级的水生生物,如发光细菌、羊角月牙藻和大型溞分别评价了目标污染物及其降解产物的生态毒性效应及其变化特征。结果表明,阿昔洛韦和喷昔洛韦的缓慢光化学降解可能会导致潜在的生态危害。
图1 阿昔洛韦和喷昔洛韦与1O2反应途径(图题为居中对齐)
(与正文间空一行)
通讯作者简介:安太成(1972—),男,环境科学理学博士,研究员,主要研究方向为新兴有机污染物的迁移转化机理研究,发表学术论文180余篇。
联系方式:广州市天河区科华街511号中国科学院广州地球化学研究所,邮编510640,办公电话020-85291501;手机13533550476,电子邮箱antc99@gig.ac.cn。
(与简介间空一行)
参考文献(加粗)
:
[1] Prasse C, Schlusener M P, Schulz R, et al. Antiviral drugs in wastewater and surface waters: A new pharmaceutical class of environmental relevance? [J]. Environmental Science & Technology, 2010, 44: 1728-1735
[2] Prasse C, Wagner M, Schulz R, et al. Biotransformation of the antiviral drugs acyclovir and penciclovir in activated sludge treatment [J]. Environmental Science & Technology, 2011, 45: 2761-2769
二、“环境基准与标准”专题学术讨论会通知
(中国环境科学研究院环境基准与风险评估国家重点实验室)
“第三届生态毒理学学术研讨会”将于2016年4月27日至30日在江苏省无锡市召开,会议由南京大学和中国科学院生态环境研究中心《生态毒理学报》编辑部联合举办。本届会议主题是“从分子毒理到生态和健康影响”,将根据本领域的最新进展设置多个议题展开讨论。同时借助本届会议平台,有关研究机构可以针对当前国内生态毒理学热点问题,设置独立的专题学术讨论会。“环境基准与标准”专题学术讨论会由中国环境科学研究院环境基准与风险评估国家重点实验室主办,交流形式包括分会主旨报告和口头报告。
一、议题
环境基准是污染物的理论安全阈值,是国家环境标准的科学基础。环境基准与标准是国家环境质量评价与风险管理的科学依据,是国家环境保护科学研究的重要内容。环境基准与标准也是环境与管理领域基础性支撑工程与国际科学前沿,与环境暴露、生态与健康效应、生态学和流行性病学等密切相关,涉及环境化学、地理学、土壤学、大气科学、生物学、毒理学和医学等综合交叉学科。近年来,我国在环境基准与标准新理论、新技术、应用、业务化工作、平台和能力建设等方面取得重要进展,在我国环境质量评价、环境损害鉴定、风险评估和风险管理工作中发挥了重要作用,在国内外学术界产生了较为重要的影响。本次会议旨在为我国从事环境基准与标准研究的科研与管理人员提供一个学术交流与研讨的平台,重点领域包括:环境基准理论与方法、测试技术与方法、生物有效性、毒理学、新理论与新方法、基础数据平台、国际合作交流等。
二、主办单位和召集人
中国环境科学研究院 环境基准与风险评估国家重点实验室:吴丰昌 主任
三、组织安排
“环境基准与标准专题学术研讨会”是一个独立的学术性会议,由专题学术研讨会主办单位负责组织召开,并借助“第三届生态毒理学学术研讨会”提供的平台统一实施。参会代表需按照“第三届生态毒理学学术研讨会”参会的各项要求提交论文摘要、注册会议和报到等,可以同时参加大会和其他专题学术讨论会报告。参会及投稿要求等可参见“第三届生态毒理学学术研讨会会议通知(第一轮)”。
摘要投稿时在“学科分类号”中注明“环境基准”。
参会代表提交的论文摘要统一由大会组织委员会收集后,转交给专题学术研讨会的召集人来择优选用,并根据报告内容安排报告类型。
四、联系方式
通讯地址(会议投稿):北京市海淀区双清路18号中国科学院生态环境研究中心《生态毒理学报》编辑部
邮编:100085
联系人:侯一宁、张慧
电话/传真:010-62941072
E-mail:
stdlxb@rcees.ac.cn
网站:
http://www.stdlxb.cn
“环境基准研究进展”专辑也已发表在《生态毒理学报》2015年1期,欢迎查阅!
http://www.stdlxb.cn/ch/common_item.aspx?parent_id=20140103062335001&menu_id=20151103055803001&flag=1&child=0&is_three_menu=0
三、“环境中抗生素和耐药基因”专题学术讨论会通知
(主办:南开大学 浙江大学)
“第三届生态毒理学学术研讨会”将于2016年4月27日至30日在江苏省无锡市召开,会议由南京大学和中国科学院生态环境研究中心《生态毒理学报》编辑部联合举办。本届会议主题是“从分子毒理到生态和健康影响”,将根据本领域的最新进展设置多个议题展开讨论。同时借助本届会议平台,有关研究机构可以针对当前国内生态毒理学热点问题,设置独立的专题学术讨论会。
“环境中抗生素和耐药基因”专题学术讨论会于2015年4月26日在厦门首次召开,得到了本领域同仁的热情响应,会上学术讨论异常热烈,会程虽远超预期,但大家仍意犹未尽,相约在2016年4月再聚。本届“环境中抗生素和耐药基因”专题学术讨论会仍然由南开大学和浙江大学发起并共同主办,交流形式包括分会主旨报告和口头报告。
一、议题
近几年,人类对抗生素的大量使用造成抗生素的环境污染问题,并由此而引发的细菌耐药问题受到了更为广泛的关注。抗生素及抗性基因作为全球新兴污染物在环境各介质中传播和扩散,特别是因超级细菌感染而造成的细菌抗药性在全球范围的传播将造成严重的健康危害。抗生素污染及抗药基因的潜在生态影响以及健康危害是近年来生态毒理学研究的热点。本专题会围绕新兴污染物抗生素和抗性基因污染及其健康风险,将设置以下议题:环境中的抗生素及抗性基因的来源、归趋、控制研究;环境中抗性基因传播、扩散的分子机制及其模型研究;环境中的抗生素及抗性基因污染与人体健康风险研究
二、主办单位和召集人
南开大学:罗义教授
浙江大学:陈红教授
三、组织安排
“环境中抗生素和耐药基因”专题学术讨论是一个独立的学术性会议,由专题学术研讨会主办单位负责组织召开,并借助“第三届生态毒理学学术研讨会”提供的平台统一实施。参会代表需按照“第三届生态毒理学学术研讨会”参会的各项要求提交论文摘要、注册会议和报到等,可以同时参加大会和其他专题学术讨论会报告。参会及投稿要求等可参见“第三届生态毒理学学术研讨会会议通知(第一轮)”。
摘要投稿时在“学科分类号”中注明“抗生素”。
参会代表提交的论文摘要统一由大会组织委员会收集后,转交给专题学术研讨会的召集人来择优选用,并根据报告内容安排报告类型。
四、 联系方式
通讯地址(会议投稿):北京市海淀区双清路18号中国科学院生态环境研究中心《生态毒理学报》编辑部
邮编:100085
联系人:侯一宁、张慧
电话/传真:010-62941072
E-mail:
stdlxb@rcees.ac.cn
网站:
http://www.stdlxb.cn
“环境中抗生素和耐药基因”专辑也已发表在《生态毒理学报》2015年5期,欢迎查阅!
http://www.stdlxb.cn/ch/common_item.aspx?parent_id=20140103062335001&menu_id=20160308022009001&flag=1&child=0&is_three_menu=0
四、“纳米材料的环境、生物行为及效应”专题学术讨论会通知
(中国科学院纳米生物效应与安全性重点实验室)
“第三届生态毒理学学术研讨会”将于2016年4月27日至30日在江苏省无锡市召开,会议由南京大学和中国科学院生态环境研究中心《生态毒理学报》编辑部联合举办。本届会议主题是“从分子毒理到生态和健康影响”,将根据本领域的最新进展设置多个议题展开讨论。同时借助本届会议平台,有关研究机构可以针对当前国内生态毒理学热点问题,设置独立的专题学术讨论会。“纳米材料的环境、生物行为及效应”专题学术讨论会由国家纳米科学中心和中国科学院高能物理研究所发起并共同主办,交流形式包括分会主旨报告和口头报告。
一、议题
近年来,纳米材料的广泛使用使其大量进入环境。纳米材料独特的物理、化学性质以及环境毒素、生物分子在纳米颗粒表面发生可能的吸附、相变、自由能释放、结构改变和分散改变等界面反应使纳米材料的环境、生物行为及效应更加复杂,纳米材料在各种环境介质中的迁移、转化、归趋,以及对生态系统生物种群和个体的毒性效应逐渐成为生态毒理学研究的热点。本次研讨会旨在为我国从事纳米毒理学的科研人员提供一个学术交流与研讨的平台,讨论重点包括纳米材料的表征方法及环境中纳米材料的分析检测方法、纳米材料在各种环境介质中归趋、转化及对各种生态系统的影响、环境污染物在纳米材料表面的界面行为和联合毒性以及纳米材料的生物效应及安全性评估。
二、主办单位和召集人
国家纳米科学中心:陈春英 研究员
中国科学院高能物理研究所:高愈希 研究员
三、组织安排
“纳米材料的环境、生物行为及效应”专题学术讨论会是一个独立的学术性会议,由专题学术研讨会主办单位负责组织召开,并借助“第三届生态毒理学学术研讨会”提供的平台统一实施。参会代表需按照“第三届生态毒理学学术研讨会”参会的各项要求提交论文摘要、注册会议和报到等,可以同时参加大会和其他专题学术讨论会报告。参会及投稿要求等可参见“第三届生态毒理学学术研讨会会议通知(第一轮)”。
摘要投稿时在“学科分类号”中注明“纳米材料”。
参会代表提交的论文摘要统一由大会组织委员会收集后,转交给专题学术研讨会的召集人来择优选用,并根据报告内容安排报告类型。
四、 联系方式
通讯地址(
会议投稿):北京市海淀区双清路18号中国科学院生态环境研究中心《生态毒理学报》编辑部
邮编:100085
联系人:侯一宁、张慧
电话/传真:010-62941072
E-mail:
stdlxb@rcees.ac.cn
网站:
http://www.stdlxb.cn
为了更好地记录和传播本次专题学术讨论会的交流成果,同时为了进一步扩大学术交流的范围,《生态毒理学报》计划于
2016年第5期出版“纳米材料的环境、生物行为及效应”专辑(非增刊),国家纳米科学中心的
陈春英研究员和中国科学院高能物理研究所的
高愈希研究员担任本专辑的特邀主编。目前,专辑正在火热征稿中,欢迎国内外纳米材料相关研究领域的专家、学者、技术人员
踊跃投稿!
五、“农用化学品生态毒理学与风险评估技术”专题学术讨论会通知
(国家环境保护农药环境评价与污染控制重点实验室;农业部农药残留检测重点实验室)
“第三届生态毒理学学术研讨会”将于2016年4月27日至30日在江苏省无锡市召开,会议由南京大学和中国科学院生态环境研究中心《生态毒理学报》编辑部联合举办。本届会议主题是“从分子毒理到生态和健康影响”,将根据本领域的最新进展设置多个议题展开讨论。同时借助本届会议平台,有关研究机构可以针对当前国内生态毒理学热点问题,设置独立的专题学术讨论会。“农用化学品生态毒理学与风险评估技术”专题学术讨论会由环境保护部南京环境科学研究所和浙江省农业科学院农产品质量标准研究所发起并共同主办,交流形式包括分会主旨报告和口头报告。
一、议题
农用化学品(主要包括农药、化肥和农用塑料制品)是一类专用化学品,在保障人类生产生活方面起到了重要的作用。因其释放进入环境,对环境中非靶标生物和人体健康也存在着潜在的危害。评估农用化学品的生态毒性机制和风险一直以来是国外农用化学品管理的前置抓手。我国在农用化学品生态毒理学方面已经开展了30多年的研究,但是以风险评估作为最终管理手段评估农用化学品的危害也仅仅10余年的时间,与发达国家相比我国在生态毒理学和风险评估技术方面的研究尚存在一定差距。本次会议旨在为我国从事农用化学品生态毒理学和风险评估的科研与管理人员提供一个学术交流与研讨的平台,重点讨论领域包括:国内外农用化学品生态毒理研究新技术新方法的原理、应用及最新动态;农用化学品环境行为及环境污染特征研究动态;农药环境暴露场景与生态风险评估技术;职业人群/一般人群暴露特征与健康风险评估技术发展动态等。
二、主办单位和召集人
环境保护部南京环境科学研究所:石利利 研究员
浙江省农业科学院农产品质量标准研究所:蔡磊明 研究员
三、组织安排
“农用化学品生态毒理学与风险评估技术专题学术研讨会”是一个独立的学术性会议,由专题学术研讨会主办单位负责组织召开,并借助“第三届生态毒理学学术研讨会”提供的平台统一实施。参会代表需按照“第三届生态毒理学学术研讨会”参会的各项要求提交论文摘要、注册会议和报到等,可以同时参加大会和其他专题学术讨论会报告。参会及投稿要求等可参见“第三届生态毒理学学术研讨会会议通知(第一轮)”。
摘要投稿时在“学科分类号”中注明“农用化学品”。
参会代表提交的论文摘要统一由大会组织委员会收集后,转交给专题学术研讨会的召集人来择优选用,并根据报告内容安排报告类型。
四、 联系方式
通讯地址(会议投稿):北京市海淀区双清路18号中国科学院生态环境研究中心《生态毒理学报》编辑部
邮编:100085
联系人:侯一宁、张慧
电话/传真:010-62941072
E-mail:
stdlxb@rcees.ac.cn
网站:
http://www.stdlxb.cn
六、“饮用水质复合污染过程与调控原理”专题学术讨论会通知
(中国科学院饮用水科学与技术重点实验室)
“第三届生态毒理学学术研讨会”将于2016年4月27日至30日在江苏省无锡市召开,会议由南京大学和中国科学院生态环境研究中心《生态毒理学报》编辑部联合举办。本届会议主题是“从分子毒理到生态和健康影响”,将根据本领域的最新进展设置多个议题展开讨论。同时借助本届会议平台,有关研究机构可以针对当前国内生态毒理学热点问题,设置独立的专题学术讨论会。“饮用水质复合污染过程与调控原理”专题学术讨论会由中国科学院饮用水科学与技术重点实验室发起并主办,交流形式包括分会主旨报告和口头报告。
一、议题
已往评价饮用水水质是否安全都是以由单一指标构成的水质标准为依据,水质净化原理、技术和工艺的研究、开发和设计也是基于同样的考虑。然而,同一水环境体系中不可能仅是一种污染物单独存在,共存的各类污染物也不可能独立地转化。因此,复合污染是微污染饮用水水质的基本特征,现有的基于单一污染物和控制指标的饮用水水质安全的理论和方法,已不能全面和深刻地回答并解决饮用水水质的健康风险问题,而对工艺提出的新挑战要求我们必须从复合污染及其毒理效应的全新视角构建饮用水安全保障的理论和技术体系。本次会议旨在为我国从事饮用水质复合污染过程与调控原理的科研与管理人员提供一个学术交流与研讨的平台,重点讨论领域包括:水质复合污染的毒理效应及风险因子识别,水质净化过程中复合污染物的协同转化与调控,典型复合污染水质净化关键技术及工艺基础,基于复合污染效应控制的供水系统优化等。
二、主办单位和召集人
中国科学院生态环境研究中心环境水质学国家重点实验室:刘会娟 研究员
中国科学院饮用水科学与技术重点实验室:马梅 研究员
三、组织安排
“饮用水质复合污染过程与调控原理”专题学术研讨会是一个独立的学术性会议,由专题学术研讨会主办单位负责组织召开,并借助“第三届生态毒理学学术研讨会”提供的平台统一实施。参会代表需按照“第三届生态毒理学学术研讨会”参会的各项要求提交论文摘要、注册会议和报到等,可以同时参加大会和其他专题学术讨论会报告。参会及投稿要求等可参见“第三届生态毒理学学术研讨会会议通知(第一轮)”。
投稿时在“学科分类号”中注明“饮用水”。
参会代表提交的论文摘要统一由大会组织委员会收集后,转交给专题学术研讨会的召集人来择优选用,并根据报告内容安排报告类型。
四、 联系方式
通讯地址(
会议投稿):北京市海淀区双清路18号中国科学院生态环境研究中心《生态毒理学报》编辑部
邮编:100085
联系人:侯一宁、张慧
电话/传真:010-62941072
E-mail:
stdlxb@rcees.ac.cn
网站:http://www.stdlxb.cn